Conectemos una carga condensador de la capacitancia C farad en serie con un resistencia de resistencia R ohms. Luego hacemos un cortocircuito en esta combinación en serie al encender el interruptor como se muestra.

Tan pronto como el condensador se cortocircuita, comienza a descargarse.
Descarga significa que el condensador cede la carga almacenada en él.
Asumamos que el voltaje del condensador en condiciones de carga completa es de V voltios. Tan pronto como el condensador está en cortocircuito, la corriente de descarga del circuito sería, V/R amperio. Pero después del instante de encendido que está en t = +0 el actual a través del circuito es

Según Ley de tensión de Kirchhoffs…que tenemos,

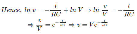
Integrando ambos lados, conseguimos,

Donde, A es la constante de integración y, en t = 0, v = V,

Después, calculando el valor de A, obtenemos,

Conocemos la forma, KVL del circuito,

Si trazamos estas descargas de corriente y voltaje en un gráfico, obtenemos,

Por lo tanto, la corriente del condensador llega exponencialmente a cero desde su valor inicial y la tensión del condensador llega exponencialmente a cero desde su valor inicial durante la descarga.