El orden de un sistema de control está determinado por el poder des en el denominador de su función de transferencia. Si la potencia de s en el denominador de la función de transferencia de un sistema de control es 2, entonces se dice que el sistema sistema de control de segundo orden. La expresión general de la función de transferencia de un sistema de control de segundo orden se da como![]()
![]()
Aquí, yn son el coeficiente de amortiguación y la frecuencia natural del sistema, respectivamente (conoceremos estos dos términos en detalle más adelante). Reordenando la fórmula anterior, la salida del sistema se da como
![]()
![]()
Usando esto como base, analizaremos la respuesta temporal de un sistema de control de segundo orden. Lo haremos analizando la respuesta de paso unitario de un sistema de control de segundo orden en el dominio de la frecuencia, antes de convertirlo en el dominio del tiempo.
Respuesta de paso del sistema de segundo orden
Si consideramos una función de paso unitario como la entrada del sistema, entonces la ecuación de salida del sistema puede ser reescrita como







Tomando el inverso Laplace transformar de la ecuación anterior, obtenemos



La expresión anterior del resultado c(t) puede reescribirse como

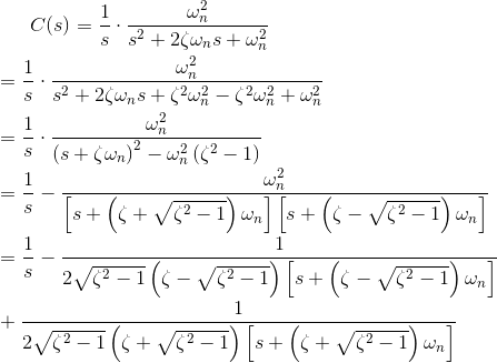
El error de la señal de la respuesta viene dado por e(t) = r (t) c(t), y por lo tanto.![]()
![]()
De la expresión anterior se desprende claramente que el error de la señal es de tipo oscilación con una magnitud de declive exponencial cuando < 1. La frecuencia de la oscilación esd y la constante de tiempo de la decadencia exponencial es 1/n. Donde,dse refiere a la frecuencia amortiguada de la oscilación, yn es la frecuencia natural de la oscilación. El término afecta mucho a ese amortiguamiento y por lo tanto este término se llama relación de amortiguamiento.
Habrá diferentes comportamientos de la señal de salida, dependiendo del valor de la relación de amortiguamiento y examinemos cada uno de los casos, uno por uno.
Cuando el coeficiente de amortiguación es cero, podemos reescribir la expresión anterior de la señal de salida como

Como en esta expresión no hay un término exponencial, la respuesta temporal del sistema de control no está amortiguada para la función de entrada de paso unitario con un coeficiente de amortiguación cero.
Página 137. Figura 6.4.3.
Ahora examinemos el caso cuando la relación de amortiguación es la unidad.





En esta expresión de la señal de salida, no hay ninguna parte oscilante en la función de paso de la unidad subjetiva. Y por lo tanto esta respuesta temporal del sistema de control de segundo orden se denomina amortiguamiento crítico.
Ahora examinaremos la respuesta en el tiempo de un sistema de control de segundo orden de la función de entrada de la unidad subjetiva de paso cuando la relación de amortiguación es mayor que uno.

Tomando lo inverso Laplace transformar de ambos lados de la ecuación anterior que obtenemos,

![]()
![]()
En la expresión anterior, hay dos constantes de tiempo.

Para el valor de comparativamente mucho mayor que uno, el efecto de la constante de tiempo más rápida en la respuesta temporal puede ser descuidado y la expresión de la respuesta temporal finalmente viene como

figura 6 .4 .5 de la página 139
Respuesta de tiempo de amortiguación crítica del sistema de control
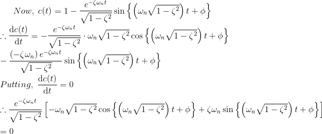
La expresión de respuesta temporal de un sistema de control de segundo orden sujeto a la función de entrada de pasos de unidad se indica a continuación.

El recíproco de constante de potencia negativa de término exponencial en la parte de error de la señal de salida es en realidad responsable de la amortiguación de la respuesta de salida. Aquí en esta ecuación esn. El recíproco de constante de potencia negativa de término exponencial en señal de error se conoce como constante de tiempo. Ya hemos examinado que cuando el valor de (también conocido como coeficiente de amortiguamiento) es menor que la unidad, la oscilación de la respuesta decae exponencialmente con una constante de tiempo 1/n. Esto se llama respuesta amortiguada.
Por otro lado, cuando es mayor que la unidad, la respuesta de la unidad de entrada de paso dada al sistema, no exhibe parte oscilante en él. Esto se llama respuesta sobreamortiguada. También hemos examinado la situación cuando la relación de amortiguamiento es la unidad que es = 1. En esa situación, el amortiguamiento de la respuesta está gobernado por la frecuencia naturaln sólo. La amortiguación real en esa condición se conoce como amortiguación crítica de la respuesta.
Como ya hemos visto en las expresiones asociadas de la respuesta temporal del sistema de control sujeto a la función de paso de entrada, la parte de oscilación está presente en la respuesta cuando el coeficiente de amortiguación () es inferior a uno y no está presente en la respuesta cuando el coeficiente de amortiguación es igual a uno. Esto significa que la parte de oscilación de la respuesta simplemente desaparece cuando el coeficiente de amortiguación se convierte en unidad. Por eso el amortiguamiento de la respuesta a = 1, se conoce como amortiguamiento crítico.
Más precisamente, cuando la relación de amortiguación es unidad, la respuesta se amortigua críticamente y entonces el amortiguamiento se conoce como amortiguación crítica. La relación entre la constante de tiempo de la amortiguación crítica y la de la amortiguación real se conoce como relación de amortiguación. Como la constante de tiempo de la respuesta de tiempo del sistema de control es 1/n cuando 1 y la constante de tiempo es 1/n cuando = 1.

Función de transferencia del sistema de segundo orden
La ecuación general para la función de transferencia de un sistema de control de segundo orden se da como![]()
![]()
Si el denominador de la expresión es cero,

Estas dos raíces de la ecuación o estos dos valores de s representan los polos de la función de transferencia de ese sistema. La parte real de las raíces representa el amortiguamiento y la parte imaginaria representa la frecuencia amortiguada de la respuesta.
La ubicación de las raíces de la ecuación de los caracteres para varios valores de mantenimienton fijo y la correspondiente respuesta temporal para un sistema de control de segundo orden se muestra en la figura siguiente.
Figura 8.4.7 de la página 140
Especificaciones de respuesta transitoria del sistema de control de segundo orden.
El rendimiento del sistema de control puede expresarse en el término de respuesta transitoria a una función de entrada de paso unitario porque es fácil de generar. Consideremos un sistema de control de segundo orden en el que se da una señal de entrada de paso unitario y también se considera que el sistema está inicialmente en reposo. Es decir, todas las condiciones iniciales del sistema son cero. Las características de respuesta temporal del sistema en condiciones de amortiguamiento se dibujan a continuación.
Figura 2.17 de la página 92 del sistema de control automático del libro de Hasan.
Hay varios términos comunes en las características de respuesta transitoria y que son
- Tiempo de demora (td) es el tiempo requerido para alcanzar el 50% de su valor final por una señal de respuesta temporal durante su primer ciclo de oscilación.
- Tiempo de ascenso (tr) es el tiempo requerido para alcanzar el valor final por una señal de respuesta de tiempo infraamortiguado durante su primer ciclo de oscilación. Si la señal está sobreamortiguada, entonces el tiempo de subida se cuenta como el tiempo requerido por la respuesta para subir del 10% al 90% de su valor final.
- Hora pico (tp) es simplemente el tiempo requerido por la respuesta para alcanzar su primer pico, es decir, el pico del primer ciclo de oscilación, o primer sobregiro.
- Sobrepaso máximo (Mp) es la diferencia en línea recta entre la magnitud del pico más alto de la respuesta temporal y la magnitud de su estado estable. El sobreimpulso máximo se expresa en términos de porcentaje del valor de la respuesta en estado estable. Como el primer pico de respuesta es normalmente de magnitud máxima, el sobregiro máximo es simplemente la diferencia normalizada entre el primer pico y el valor de estado estacionario de una respuesta.
![]()
![]()
- Tiempo de asentamiento (ts) es el tiempo necesario para que la respuesta se estabilice. Se define como el tiempo requerido por la respuesta para alcanzar y estabilizarse dentro de un rango especificado del 2 al 5 % de su valor final.
- Error de estado estable (e ss ) es la diferencia entre la salida real y la salida deseada en el rango infinito de tiempo.


Fórmula del tiempo de ascenso
La expresión de un sistema de control de segundo orden amortiguado con función de entrada de paso de unidad,![]()
![]()
De nuevo, según la definición, la magnitud de la señal de salida en tiempos de Rice es 1. Es decir c(t) = 1, por lo tanto

Fórmula de tiempo máximo
Según la definición en el momento del pico, la curva de respuesta alcanza su valor máximo. Por lo tanto, en ese punto,![]()
![]()




El máximo sobregiro se produce en n = 1.
Fórmula de máximo sobregiro
Si ponemos la expresión del tiempo de pico en la expresión de la respuesta de salida c(t), obtenemos,



Fórmula del tiempo de asentamiento
Ya se ha definido que el tiempo de asentamiento de una respuesta es el tiempo después del cual la respuesta alcanza su condición de estado estable con un valor superior a casi el 98% de su valor final. También se observa que esta duración es aproximadamente 4 veces la constante de tiempo de una señal. En la constante de tiempo de un sistema de control de segundo orden es 1/nla expiración del tiempo de asentamiento puede darse como![]()
![]()