¿Qué es la línea de transmisión media?
A línea de transmisión media se define como un línea de transmisión con una longitud efectiva de más de 80 km (50 millas) pero menos de 250 km (150 millas). A diferencia de un línea de transmisión cortala corriente de carga de una línea de transmisión media es apreciable y por lo tanto la derivación capacitancia debe ser considerado (este es también el caso de largas líneas de transmisión). Esta capacitancia de derivación es capturada dentro de la admisión (Y) de los parámetros del circuito ABCD.
El Parámetros del ABCD de una línea de transmisión de longitud media se calcula utilizando una admisión en derivación agrupada, junto con la impedancia agrupada en serie al circuito. Estos parámetros agrupados de una línea de transmisión de longitud media pueden representarse utilizando tres modelos diferentes, a saber:
- Nominal Π representación (modelo pi nominal)
- Nominal T representación (modelo T nominal)
- Método del Condensador Final
Pasemos ahora a la discusión detallada de estos modelos mencionados, derivando los parámetros ABCD para las líneas de transmisión de medios.
Parámetros ABCD de la línea de transmisión media
Representación nominal de una línea de transmisión media
En el caso de una Π (es decir, el modelo pi nominal), la impedancia de la serie de bultos se coloca en el centro del circuito mientras que las admisiones de la derivación están en los extremos. Como podemos ver en el diagrama de la red que figura a continuación, el total de la admisión en derivación agrupada se divide en dos mitades iguales, y cada mitad con valor Y 2 se coloca tanto en el extremo emisor como en el receptor, mientras que la impedancia total del circuito se encuentra entre los dos.
La forma del circuito así formado se asemeja a la de un símbolo Πy por esta razón, se conoce como la representación nominal de un línea de transmisión media. Se utiliza principalmente para determinar los parámetros generales del circuito y realizar flujo de carga análisis.

Como podemos ver aquí, VS y VR es el extremo de suministro y recepción voltajes respectivamente, y yos es el actual que fluye a través del extremo de suministro. IR es la corriente que fluye a través del extremo receptor del circuito. I1 y yo3 son los valores de las corrientes que fluyen a través de las entradas. Y yo…2 es la corriente a través de la impedancia Z
Ahora se aplica KCLen el nodo P, tenemos.

De manera similar aplicando KCL, al nodo Q.

Ahora sustituyendo la ecuación (2) por la ecuación (1)

![]()
![]()
Ahora, aplicando KVL al circuito,



Comparando la ecuación (4) y (5) con las ecuaciones estándar de los parámetros del ABCD

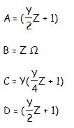
Derivamos los parámetros ABCD de una línea de transmisión media como:

Representación T nominal de una línea de transmisión media
En el T nominal modelo de una línea de transmisión media, la admisión de la derivación abultada se coloca en el centro, mientras que la impedancia serie neta se divide en dos mitades iguales y se coloca a cada lado de la admisión de la derivación. El circuito así formado se asemeja al símbolo de un capital Ty, por lo tanto, se conoce como la red T nominal de una línea de transmisión de longitud media y se muestra en el siguiente diagrama.

Aquí también Vs y Vr es el extremo de suministro y recepción voltajes respectivamente, y
Is es la corriente que fluye a través del extremo de suministro.
Ir es la corriente que fluye a través del extremo receptor del circuito.
Que M sea un nodo en el punto medio del circuito, y la caída en M, sea dada por Vm.
Aplicando la KVL a la red anterior obtenemos,

Ahora la corriente final de envío es,

Sustituyendo el valor de VM a la ecuación (9) que tenemos,

De nuevo comparando la ecuación (8) y (10) con las ecuaciones estándar de los parámetros del ABCD,

Los parámetros de la T red de un línea de transmisión media son

Método del Condensador Final
En este método, la capacitancia de la línea se cojea o se concentra en el extremo receptor o de carga. Este método de localizar la capacitancia de la línea en el extremo de carga sobreestima los efectos de la capacitancia.