Patrones de Lissajous del CRO o del osciloscopio de rayos catódicos

Osciloscopio de rayos catódicos (CRO) es un dispositivo electrónico muy importante. El CRO es muy útil para analizar la forma de onda de voltaje de diferentes señales. La parte principal del CRO es la CRT (Tubo de rayos catódicos). Un simple CRT se muestra en la figura de abajo…
Patrones de Lissajous del CRO o del osciloscopio de rayos catódicosPatrones de Lissajous del CRO o del osciloscopio de rayos catódicos

Cuando ambos pares de placas de deflexión (placas de deflexión horizontal y placas de deflexión vertical) de CRO (Osciloscopio de rayos catódicos) están conectados a dos voltajes sinusoidales, los patrones que aparecen en la pantalla del CRO se llaman El patrón de Lissajous.
La forma de estos patrones de Lissajous cambia con los cambios de diferencia de fase entre la señal y la ración de frecuencias aplicadas a las placas de desviación (trazas) de CRO. Lo que hace que estos Los patrones de Lissajous muy útil para analizar las señales aplicadas a la desviación del CRO. Estos patrones lissajous tienen dos aplicaciones para analizar las señales. Para calcular la diferencia de fase entre dos señales sinusoidales de la misma frecuencia. Para determinar la relación de frecuencias de las señales sinusoidales aplicadas a las placas de desviación vertical y horizontal.

Cálculo de la diferencia de fase entre dos señales sinusoidales de la misma frecuencia

Cuando se aplican dos señales sinusoidales de la misma frecuencia y magnitud, dos pares de placas deflectoras de CROel patrón de Lissajous cambia con el cambio de diferencia de fase entre las señales aplicadas a la CRO.
Para los diferentes valores de las diferencias de fase, la forma de los patrones de Lissajous se muestra en la siguiente figura,

SL No. Diferencia de ángulo de fase Lissajous Pattern apareció en la pantalla del CRO
1 0o & 360o Patrones de Lissajous del CRO o del osciloscopio de rayos catódicosPatrones de Lissajous del CRO o del osciloscopio de rayos catódicos
2 30o o 330o Patrones de Lissajous del CRO o del osciloscopio de rayos catódicosPatrones de Lissajous del CRO o del osciloscopio de rayos catódicos
3 45o o 315o Patrones de Lissajous del CRO o del osciloscopio de rayos catódicosPatrones de Lissajous del CRO o del osciloscopio de rayos catódicos
4 60o o 300o Patrones de Lissajous del CRO o del osciloscopio de rayos catódicosPatrones de Lissajous del CRO o del osciloscopio de rayos catódicos
5 90o o 270o Patrones de Lissajous del CRO o del osciloscopio de rayos catódicosPatrones de Lissajous del CRO o del osciloscopio de rayos catódicos
6 120o o 240o Patrones de Lissajous del CRO o del osciloscopio de rayos catódicosPatrones de Lissajous del CRO o del osciloscopio de rayos catódicos
7 150o o 210o Patrones de Lissajous del CRO o del osciloscopio de rayos catódicosPatrones de Lissajous del CRO o del osciloscopio de rayos catódicos
8 180o Patrones de Lissajous del CRO o del osciloscopio de rayos catódicosPatrones de Lissajous del CRO o del osciloscopio de rayos catódicos

Hay dos casos para determinar la diferencia de fase entre dos señales aplicadas a las placas horizontales y verticales,

Caso I: Cuando, 0 < < 90o o 270o < < 360o :
Como estudiamos arriba, es claro que cuando el ángulo está en el rango de 0 < < 90o o 270o < < 360oel patrón de Lissajous tiene la forma de una Elipse con un eje principal que pasa por el origen del primer al tercer cuadrante:
Consideremos un ejemplo para 0 < < 90o o 270o < < 360ocomo se muestra en la siguiente figura,
Patrones de Lissajous del CRO o del osciloscopio de rayos catódicosPatrones de Lissajous del CRO o del osciloscopio de rayos catódicos
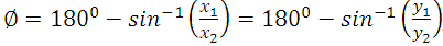
En esta condición la diferencia de fase será,
Patrones de Lissajous del CRO o del osciloscopio de rayos catódicosPatrones de Lissajous del CRO o del osciloscopio de rayos catódicos
Otra posibilidad de diferencia de fase,

Desde arriba, dado el patrón de Lissajous
Patrones de Lissajous del CRO o del osciloscopio de rayos catódicosPatrones de Lissajous del CRO o del osciloscopio de rayos catódicos
Otra posibilidad de diferencia de fase,

Caso II: Cuando el 90o < < 180o o 180o < < 270o
Patrones de Lissajous del CRO o del osciloscopio de rayos catódicosPatrones de Lissajous del CRO o del osciloscopio de rayos catódicos
Como estudiamos arriba, es evidente que cuando el ángulo está en el rango de 0…o < < 90o o 270o < < 360oel Patrón de Lissajous tiene la forma de una elipse con un eje mayor que pasa por el origen del segundo al cuarto cuadrante:
Consideremos un ejemplo para When, 90o < < 180o o 180o < < 270ocomo se muestra en la siguiente figura,
En esta condición la diferencia de fase será, Patrones de Lissajous del CRO o del osciloscopio de rayos catódicosPatrones de Lissajous del CRO o del osciloscopio de rayos catódicos
Otra posibilidad de diferencia de fase,
Desde arriba, dado el patrón de Lissajous
Patrones de Lissajous del CRO o del osciloscopio de rayos catódicosPatrones de Lissajous del CRO o del osciloscopio de rayos catódicos
Otra posibilidad de diferencia de fase,
Para determinar la relación de frecuencias de la señal aplicada a las placas deflectoras verticales y horizontales:
Para determinar la proporción de frecuencias de la señal utilizando el patrón de Lissajous, simplemente dibuje una línea horizontal y vertical arbitraria en el patrón de Lissajous que intersecta el patrón de Lissajous. Ahora cuente el número de tangencias horizontales y verticales por el patrón de Lissajous con estas líneas horizontales y verticales.
Luego la relación de frecuencias de las señales aplicadas a las placas de desviación,
Patrones de Lissajous del CRO o del osciloscopio de rayos catódicosPatrones de Lissajous del CRO o del osciloscopio de rayos catódicos
O,
Patrones de Lissajous del CRO o del osciloscopio de rayos catódicosPatrones de Lissajous del CRO o del osciloscopio de rayos catódicos
Consideremos algunos ejemplos para aclarar el concepto en detalle:

Ejemplos Patrón de Lissajous
Sl No. Patrón de Lissajous Relación de frecuencias fy/fx
1 Patrones de Lissajous del CRO o del osciloscopio de rayos catódicosPatrones de Lissajous del CRO o del osciloscopio de rayos catódicos fy/fx = 4/2 = 2
2 Patrones de Lissajous del CRO o del osciloscopio de rayos catódicosPatrones de Lissajous del CRO o del osciloscopio de rayos catódicos fy/fx = 3/1 = 3
3 Patrones de Lissajous del CRO o del osciloscopio de rayos catódicosPatrones de Lissajous del CRO o del osciloscopio de rayos catódicos fy/fx = 6/4 = 3/2
4 Patrones de Lissajous del CRO o del osciloscopio de rayos catódicosPatrones de Lissajous del CRO o del osciloscopio de rayos catódicos fy/fx = 6/8 = 3/4
5 Patrones de Lissajous del CRO o del osciloscopio de rayos catódicosPatrones de Lissajous del CRO o del osciloscopio de rayos catódicos fy/fx = 4/3

Give a Comment